5月7日,木瓜视频
文化遗产研究院人类演化研究团队在国际权威学术期刊Journal of Human Evolution发表题为“Enamel thickness in the deciduous postcanine dentition of fossil andextantPongo”的研究论文,报道并对比了化石猩猩和现生猩猩乳齿的釉质厚度,该工作对探索猩猩的演化过程提供了重要依据。论文第一作者为木瓜视频
文化遗产研究院副研究员易智星,通讯作者为木瓜视频
文化遗产研究院王伟教授和广西科学院的许贵林教授。参与本项研究的还有波尔多大学、南宁师范大学、广西民族博物馆和中国矿业大学的多位学者。
现生大猿是与人亲缘关系最接近的非人灵长类动物,猩猩是亚洲唯一的现生大猿,其化石记录曾广泛分布于中国南方和东南亚,但目前仅有少量种群栖息于印度尼西亚和马来西亚的岛屿上。釉质厚度可以反映灵长类动物的食物处理能力,厚釉质一般表明该物种能够处理韧性或/和硬质食物。前人对化石猩猩恒齿釉质厚度进行了较为深入的研究,但对乳齿釉质厚度知之甚少,这在一定程度上限定了对猩猩幼年期演化过程的认知。
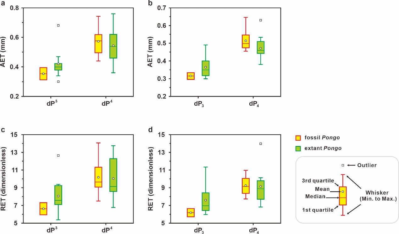
研究团队对28颗化石猩猩乳前臼齿(产地为广西中-晚更新世洞穴)进行了高精度CT扫描,在牙齿虚拟模型的基础上测量了近中切面的平均釉质厚度(averageenamel thickness,AET)和相对釉质厚度(relative enamel thickness,RET),并和39颗现生猩猩的结果进行了统计对比。结果显示,对于第四乳前臼齿,化石猩猩和现生猩猩在AET和RET上没有显著差异(p> 0.05)。

图1测量牙齿近中切面二维釉质厚度的流程

图2化石猩猩和现生猩猩乳前臼齿(a-b)平均釉质厚度和(c-d)相对釉质厚度的对比结果.左侧两图为上颌结果,右侧两图为下颌结果
和恒齿演化规律相似,化石猩猩和现生猩猩的釉质厚度在第四乳前臼齿上没有显著差异,这表明猩猩无论是幼年期还是成年期,在漫长的演化过程中,可能没有进化出更高的食物处理能力(processingcapability)。值得注意的是,自早更新世以来,猩猩牙齿呈现出逐步减小的趋势。牙齿大小和体重为正相关关系,由此可以推测猩猩自早更新世以来体重逐渐减小。体重减小不仅能够减少每天的能量消耗,而且还能扩大活动范围,从而提高猩猩的食物采收能力(harvestingcapability)。早更新世以来,华南呈现出森林退化的过程,适合猩猩生存的栖息地和喜好食物逐渐减少。面对这种环境变迁,猩猩可能没有演化出更高的食物处理能力,而是通过减小体重,提高活动范围,提高食物采收能力,不断南迁来追寻更合适的栖息地。这或许能够解释化石猩猩在早更新世主要分布在中国南方,在中更新世已经扩展到南边的东南亚,而目前仅仅生活在更靠南方的东南亚岛屿上。
Journal of Human Evolution为古人类学领域的老牌期刊,该刊主要发表人类演化各研究方向的高质量文章,在国际上享有较高的声誉以及广泛的学术影响力(2022年JCR分区:SSCI一区)。
文章链接://www.sciencedirect.com/science/article/pii/S0047248424000010
【作者:易智星 审核:王伟 编辑:孙士美】